|
Since the launch of IFSA one year ago we have had the photo of the Space Shuttle on our landing page. Of course, we are not denying that this piece of engineering marvel is now permanently retired, but it’s supposed to embody the hope that we have for IFSA itself: aim high.
So it’s been a year. Clearly, we must do something to commemorate this event. But what? How about we take some inspiration from our landing page and look at space ships in orbit and consider the energy required to put them there? With MATHS, and GRAPHS! *drool*... |
"The rocket worked perfectly, except for landing on the wrong planet."
Wernher von Braun, on hearing of the bombing of London using his V-2 rockets
HOW MUCH ENERGY DOES IT TAKE TO GET 1 KG INTO ORBIT?
First, what orbit am I talking about? Let us assume low Earth orbit, or LEO — which is about 360 km above the surface of the Earth. Now, you need to realize that in order to be in this orbit, the object has to go at a certain speed. The only force acting on the mass would be the gravitational force. The acceleration that goes along with this force is the acceleration of an object moving in a circle. A balance is struct between the force that is throwing it out into outer space and the gravitational pull of the Earth. The faster you go, the higher you go, until at one point you escape the Earth itself.
Since you have to get this thing going fast, it must increase in kinetic energy. Also, since it has to increase in distance from the center of the Earth, it must increase in gravitational potential energy (technically, the Earth-mass system increase in gravitational potential energy).
We’ll skip all the intermediate steps and show you the change in energy need to get an object into orbit. Here are all the details if you are interested.
First, what orbit am I talking about? Let us assume low Earth orbit, or LEO — which is about 360 km above the surface of the Earth. Now, you need to realize that in order to be in this orbit, the object has to go at a certain speed. The only force acting on the mass would be the gravitational force. The acceleration that goes along with this force is the acceleration of an object moving in a circle. A balance is struct between the force that is throwing it out into outer space and the gravitational pull of the Earth. The faster you go, the higher you go, until at one point you escape the Earth itself.
Since you have to get this thing going fast, it must increase in kinetic energy. Also, since it has to increase in distance from the center of the Earth, it must increase in gravitational potential energy (technically, the Earth-mass system increase in gravitational potential energy).
We’ll skip all the intermediate steps and show you the change in energy need to get an object into orbit. Here are all the details if you are interested.
These are the relevant constants:
Using these, the energy for the 1 kg to get into low Earth orbit is 3.29 x 107 Joules. If you paid for that with the electricity from your house, you would write it in kilowatt hours. That would be 9.1 kW*hrs per kg. In Malaysia, the average kW*hr costs 35 sen. This would just cost you about RM3.18 — of course assuming that your electric-based rocket was 100 percent efficient.
Unfortunately, it costs way more to actually put 1 kg into orbit. The current estimate is more than US$1,000 per kg of material. Why? First, there is the whole expensive rocket thing. Next, you have to fuel and stuff. Yes, you actually have to get some of the fuel almost all the way into orbit so that you can use it.
WHY IS IT BETTER TO LAUNCH NEAR THE EQUATOR?
News flash: the Earth rotates. It does. This rotation is like a bonus starting speed. How fast is this starting speed?
Imagine you are on a merry-go-round with your friend. Your friend is near the middle and you are on the edge. You both have the same rotation rate (angular velocity) but since you have a much greater distance to go (all the way around the outside), you have to go faster. If the magnitude of the angular velocity is represented by ω then the speed will be:
- G = 6.67 x 10-11 N*m2/kg2 (gravitational constant)
- ME = 5.97 x 1024 kg (mass of the Earth)
- RE = 6.38 x 106 m (radius of the Earth)
Using these, the energy for the 1 kg to get into low Earth orbit is 3.29 x 107 Joules. If you paid for that with the electricity from your house, you would write it in kilowatt hours. That would be 9.1 kW*hrs per kg. In Malaysia, the average kW*hr costs 35 sen. This would just cost you about RM3.18 — of course assuming that your electric-based rocket was 100 percent efficient.
Unfortunately, it costs way more to actually put 1 kg into orbit. The current estimate is more than US$1,000 per kg of material. Why? First, there is the whole expensive rocket thing. Next, you have to fuel and stuff. Yes, you actually have to get some of the fuel almost all the way into orbit so that you can use it.
WHY IS IT BETTER TO LAUNCH NEAR THE EQUATOR?
News flash: the Earth rotates. It does. This rotation is like a bonus starting speed. How fast is this starting speed?
Imagine you are on a merry-go-round with your friend. Your friend is near the middle and you are on the edge. You both have the same rotation rate (angular velocity) but since you have a much greater distance to go (all the way around the outside), you have to go faster. If the magnitude of the angular velocity is represented by ω then the speed will be:
Where r in this case is the distance from the axis of rotation. Suppose you launch a rocket from the North Pole. In this case, the distance from the axis of rotation would be zero meters. You would get no “speed bonus”. The greatest bonus is at the equator since that is the farthest from the axis of rotation, speeding along at around 1,670 km/h.
If you consider this speed boost, then what is the energy to get into orbit (per kg) as a function of latitude? Here you go.
If you consider this speed boost, then what is the energy to get into orbit (per kg) as a function of latitude? Here you go.
The Space Shuttle launching from Cape Canaveral in Florida (28.5° north of the equator) is a 0.3% energy savings compared to the North Pole. If we move it to around the equator, such as the European Space Agency’s spaceport in French Guiana, we’d get about 0.4% savings. Maybe that doesn’t seem like a big deal, but every bit helps.
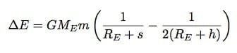
WOULD LAUNCHING FROM A MOUNTAIN HELP?
Moving towards the equator gives you a little speed boost. Moving to a mountain would make the change in gravitational potential energy to get to orbit a bit smaller. Suppose the mountain has a height of s (I already used h for the orbit height). This would change my change in energy equation to:
WOULD LAUNCHING FROM A MOUNTAIN HELP?
Moving towards the equator gives you a little speed boost. Moving to a mountain would make the change in gravitational potential energy to get to orbit a bit smaller. Suppose the mountain has a height of s (I already used h for the orbit height). This would change my change in energy equation to:
This assumes starting the mass at rest (so no speed boost). Mount Everest is 8,850 meters above sea level. So, here is a plot of the energy needed to get 1 kg into low Earth orbit for heights starting from sea level to the top of Everest.
Launching from the top of Mount Everest would give you a 0.2% savings in energy per kg.
WHAT ABOUT A GIANT MOUNTAIN AT THE EQUATOR?
This would be the best case scenario, wouldn’t it? If there was an 8,850-meter high mountain at sea level, it would do two things. First it would start the rocket off at a higher point. Second it would give it even more of a starting speed than at the equator. Why? Because it isn’t on the equator. It is 8,850 meters above the equator. But is that a big difference?
The speed at sea level on the equator is (using a rotation period of 23 hours and 56 min):
WHAT ABOUT A GIANT MOUNTAIN AT THE EQUATOR?
This would be the best case scenario, wouldn’t it? If there was an 8,850-meter high mountain at sea level, it would do two things. First it would start the rocket off at a higher point. Second it would give it even more of a starting speed than at the equator. Why? Because it isn’t on the equator. It is 8,850 meters above the equator. But is that a big difference?
The speed at sea level on the equator is (using a rotation period of 23 hours and 56 min):
And the starting speed if on a mountain at sea level:
Not much of a difference. Although Mount Everest is tall, it is small in comparison to the Earth. The total energy needed to get 1 kg of mass into orbit from a mountain on the equator would be 3.276 x 107 J/kg. So, not that big of a savings.
Ponder this
If equatorial launches are much more economical, why do certain countries who have the option also have spaceports further from the equator? The United States's for instance have another in launch site in Vandenberg, California (34° North)?
Are there any benefits for a polar launch, where the rotational speed of the Earth i effectively zero?
Discuss
Calculate the speed on the surface of the Earth (as accurately as you can) at the following locations: Kuala Lumpur and Penang (at sea level), and Mount Kinabalu (at its peak). What are the speed advantages as compared to Cape Canaveral, Florida and at the equator.
Further readings
Kennedy Space Center Cape Canaveral, NASA's site on the legendary spaceport
Vandenberg Aif Force Base, the US' other spaceport
Guiana Space Center, the European Space Agency's spaceport, and among the nearest to the equator















